变基git rebase中的基是什么
变基(git rebase)中的基是什么?
git rebase 在官网中的定义是:重新应用commits到要合并到的分支的顶端。(一个英语渣的直译,见笑了)。其实也可以这么说是重新应用commits到要合并到的分支的最新提交。如果现在还没有理解,没有关系,现在我开始仔细说明git rebase都干了什么。
假设我们现在是A研发人员,此时本地分支是master,然后远程有两个分支:origin/master,origin/develop。此时我们接到一个任务,我们要在develop分支上开发一个功能,所以此时我们要切换分支。

切换分支我们需要用到的命令是:
git checkout -b local_develop origin/develop该命令其实做了两个操作,第一个是拷贝了远程的origin/develop到本地,致使本地多了一个分支,第二个是把该分支命名为local_develop。
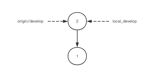
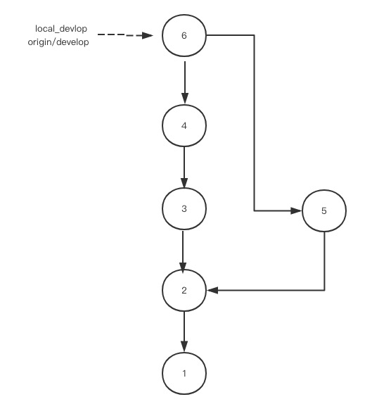
假设此时远程的origin/develop分支上已经有两个提交。,所以我们查看远程分支的日志(git log origin/develop)可以看到提交的树状图如下:

此时你本地的提交日志(git log)的树状图如下:

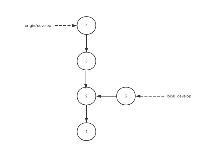
经过一段时间,你把功能开发完成了,此时提交代码(git commit -m “[+]添加功能”),把你本地的代码提交到远程分支上。这时候你发现在你提交之前,有其他的同事在develop分支(这里指的是origin/develop)上提交了两次代码。所以此时的树状图是这样的:远程分支的提交已经有四次了,此时你的提交编号应该为5.

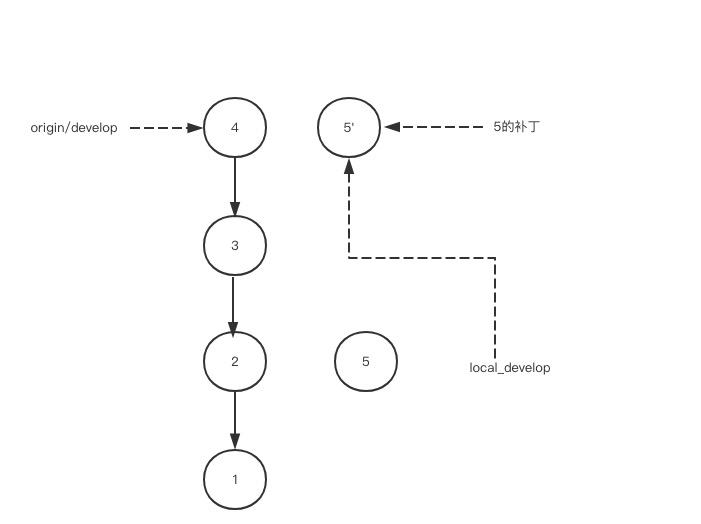
commit后,如果有修改过但是未commit的文件,我们应该执行驻藏命令 git stash 将这些文件保留到驻藏区,然后进行代码的拉取git fetch ,然后执行合并分支,git rebase.
该命令会执行两个步骤,第一个是把你本地分支的新添加的全部的commit的补丁(patch),我理解为是备份,也就是把他们的备份临时放到.git/rebase目录下,然后把commit撤销掉。
也就是这样:

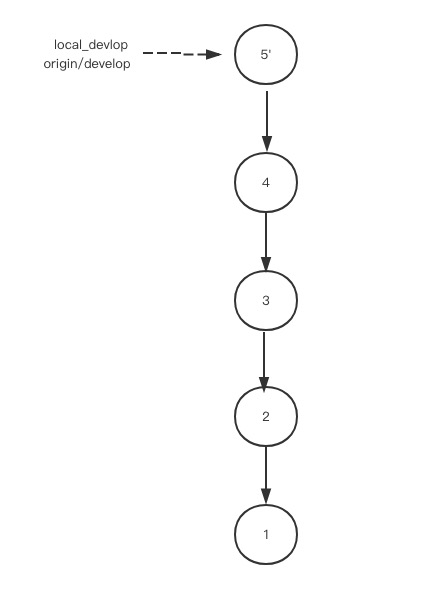
第二个步骤是在要合并到的分支(origin/develop)的最新的commit的基础上应用这些补丁。也就是把4和5’进行合并,然后推送代码 git push.

到这里,我们可以知道变基的基是什么了吧。就是要要合并到的分支(origin/develop)的最新的提交(在上面例子里,这个基就是4)。
明白了git rebase的操作后,我们可以发现,如果使用git rebase命令来合并分支的话,分支的树状图都是“单线”,都是一条直线。这样的树状图是非常优美的。
现在我们也可以来了解一下另一个合并分支的命令(git merge).
merge命令非常简单粗暴,就是把你本地最新的提交和远程最新的提交合并一下,得到一份最新的提交。

用merge命令的话树状图就会看着很乱,有各种线交叉,看着非常不友好。
所以拉代码推荐git fetch + git rebase.